During this unit, students will use graphing to solve linear equations. Students are going to:
- Make use of graphs to solve one- and two-variable linear equations.
- construct and discover answers to real-world problems.
- How can graphing help students get a conceptual knowledge of algebraic and/or number theory topics?
- Linear Equation: An equation with a constant rate of change, or an equation that results in the graph of a line.
- Solution: The value that makes the equation (or statement) true.
- graphing calculator
- GeoGebra (optional)
- copies of the Linear Equations 1 handout (M-A1-3-2_Linear Equations 1 and KEY)
- copies of the Linear Equations 2 handout (M-A1-3-2_Linear Equations 2 and KEY)
- copies of the Two Variables handout (M-A1-3-2_Two Variables and KEY)
- Students' proficiency with fundamental tasks, like combining like terms, has a significant impact on their ability to comprehend the behavior of equations and functions. Focus on practice when you see particular students struggling in this area.
- Ask students to explain the distinction between an equation and a function in their own words. Answers such as "an equation is a condition" and "a function is a rule" demonstrate the type of global and conceptual thinking that should guide the course.
Explicit Instruction, Modeling, and Active Engagement
W: This is an open-ended lesson where students define a solution for themselves and figure out how to find a solution or solutions from a graph. Students compare the solution points of linear equations in one variable to those in two variables. Are they different? What distinguishes them? Additionally, depending on the graphing method used, students will look at variations in solution points.
H: Students will become interested in the initial section on defining a solution and finding equation solutions on their own (without any formal teaching). Students will most likely be engaged by the explorations of intersections and sites of intersection, as well as the active links between equations and real-world models.
E: In this lesson, students graph the equations to observe how they appear and investigate the definition of solution to an equation and a system of equations. Additionally, students will investigate whether a y-intercept is an equation's solution.
R: Based on their involvement in the open-ended discussions and activities, students have lots of chances to go back over, reconsider, think about, and revise. Students reconsider, reflect on, and change their definitions of a solution to an equation, as well as their understanding of when the y-intercept is a solution. No explanations or guidelines are provided to the students. As a result, students must constantly evaluate what they have learned and make the required adjustments.
E: During this captivating session, students engage in self-evaluation and reflection. For example, students need to consider if they get why there is only one solution for a linear equation in one variable but there are an infinite number of solutions for a linear equation in two variables, including the intercepts.
T: The use of graphic organizers, conversations, and other presentations takes into account the various learning preferences of the students. Support on an individual basis might be given as required.
O: The entire lesson is abstract from the beginning to the end, concentrating only on the students' mental grasp of linear equations, graphing, and solutions.
This lesson focuses on teaching students how to graph linear equations using technology. Students will utilize a graphing calculator to obtain the solutions to linear equations. The primary goal of this course is to gain conceptual knowledge of solutions using a graphical method.
Students will encounter linear equations in one variable as well as two variables while graphing them. Students must have a conceptual understanding of the distinctions between solutions and solution processes for these two types of linear equations.
Part 1: Graphing Linear Equations: Discovery
The examples of linear equations in one variable that are written on the board to begin class are as follows:
2x - 5x = 3
4x + 7 = 9x -2
y = 9x + 4
-3x + 8 = 2
8x = 4
y - 3 = x + 4
"We may also come across instances that have no solution, like the following" (also write these on the board):
2x - 5x = -3x + 9
8x + 12 = 3x + 5x + 8.
"How come these equations don't have any solutions?" In the first case, grouping related words resulted in a contradiction of 0 = 9. The second example results in another contradiction: 4 = 0. When a statement that appears to be an equation contains contradictory facts, the statement is not an equation.
"How can you determine graphically whether a linear equation has a solution? How will the graph look? Before we get into the topic of linear equations without solutions, let's consider the methods by which solutions can be derived from the graphs of linear equations in one variable and those in two variables."
"First, let us clarify that any letter can be used to represent a variable. If only one variable is present in the linear equation, we refer to it as an equation in one variable. However, if two different variables are involved, we call it a two-variable equation."
"Let's make a graphic to sum up all we know about the prior linear cases. We will also utilize the chart to convey concepts about how solutions seem graphically, what the solutions actually reflect, and how we can check our thoughts using algebra. We'll start making the chart together. Then, you'll work in pair with a partner to hypothesize how to solve the various equations, describe what the solutions will look like and represent, and back up your claims with an algebraic approach or check." Begin the chart with the class and complete the second column. Distribute handouts for Linear Equations 1 (M-A1-3-2_Linear Equations 1 and KEY).
Class Chart Example


Answers to Class Chart, Version 1


Activity 1: Chart, Part A
Students work together to construct the chart, focusing on reaching an agreement on how to graphically solve each form of linear equation: equations in one variable and equations in two variables. Note: The table feature can be used to identify values that are difficult to see in the graph. Students should begin to understand that x-intercepts and/or points of intersection can be utilized to solve linear equations in one variable, whereas any point on the line can indicate a solution to a two-variable problem. This distinction is critical and often difficult for students to grasp intellectually. If necessary, help the students understand this concept by filling in one of the rows on the chart with the class to demonstrate.
Chart, Part B
When teaching linear equations in two variables, ask them to explain what a solution is. "Discuss with your partner if a solution to an equation in two variables is the same as a solution to an equation in one variable. (Hint: Discuss the concept of placeholder versus exact solution.)" Note: At this point in the class, students may learn that equations in one variable have a precise solution, or one exact solution, that satisfies the equation. However, a two-variable linear equation employs a placeholder effect in which the values are "variable." Any value can be used as an input value, resulting in a unique output value.
Hold a class discussion to go over any concerns, questions, revelations, etc. Also, ask the following questions:
"Did you stop to consider the y-intercept and what that value represented during this exploration?" (where the graph intersects the y-axis)
"Was that the solution?" (yes, when x = 0).
"Was it the only solution?" (no)
"If so, for what type of equation was the y-intercept a solution? In other circumstances, what did it mean? (The value of y when x = 0)
Explain the y = screen window function in graphing calculators: "The y = screen is the window on your graphing calculator that displays the equation to be graphed. This window usually contains a pointer following a 'y =' prompt." Then question, "Is it all confusing that the equations typed into the y = screen appear exactly as if they are written in two variables, but have a specific solution, not multiple answers, as indicated by the evaluation of one specific x-value? Then, we enter equations using x and y into the y= screen, meaning that y represents 'y.' How can we remove any ambiguities? This concept will be explored more in Part 2 of this lesson. We'll also talk about the two strategies for solving linear equations in one variable."
Part 2: Graphing Linear Equations: Practice
Tell students, "Now let's review the previous linear equations:
2x - 5x = 3
4x + 7 = 9x – 2
y = 9x + 4
-3x + 8 = 2
8x = 4
y – 3 = x + 4
We will ascertain the solution to each equation by using a graphical approach. Have you established a definition for solution based on our previous activity?" Allow the students to discuss the question before giving the answer. The solution(s) is/are the numerical value(s) that make the equation true. In some circumstances, there is just one possible value. In other circumstances, the variables' values are "variable" in the sense that they vary in response to changes in the input values.
"We'll compare our answers overall using the chart you filled out." Have students assist in completing the class chart. Make the completed chart available to students in an electronic format. The following are sample observations. Use these to lead the discussion. Provide students with this information: The table feature can be used to identify values that are difficult to see in the graph.
Distribute copies of the Linear Equations 2 worksheet (M-A1-3-2_Linear Equations 2 and KEY).
Answers to Class Chart, Version 2





Ask the students to explain, "For linear equations in one variable, why is it that the intersection of the two pieces of the equation and the x-intercept of the entire equation give the same solution?" Give students time to think about this important question.
"To answer this question, consider the following linear equation in one variable:
-3x + 8 = 2
As we are aware, there are two ways we can visually solve the problem: either locate the intersection of -3x + 8 and 2 or find the x-intercept of the equation -3x + 6.”
"When two expressions are set equal to one another, the intersection of the two expressions yields the solution. Using a table as a guide, we can see that an x-value of 2 equals 2 for the equation's y-value (2 is the y-value for the second equation for all x-values; slope = 0). However, if we change the equation to make it equal to 0 (by removing 2 from either side), we may conclude that it equals 0. As a result, the assertion, or equation, is true whenever the y-value is 0. At the x-intercept, the y-value is zero. As a result, the x-intercept also provides the solution."
"What does the y-intercept represent in each equation? Let's look at the y-intercept for each equation." Allow students to investigate and see what they discover about the y-intercept. The table below contains example answers. Distribute copies of the Two Variables handout (M-A1-3-2_Two Variables and KEY).
y = 2x
y = - 2x
y = 9x + 4
y = x - 3
y = 8x
y - 3 = x + 4
Example Answers


"These ideas lead to a consideration of the challenges related to understanding the use of the y= screen as opposed to the real equation, noted in one or two variables. In other words, even if an equation has just one variable, we can modify it by setting it to zero and inserting it as y = ______. However, we know there is no variable x-value. There is one solution. How is this different from an equation that was originally written in two variables and entered as is? Why may we write an equation in one variable like y = ____?" (Allow time for discussion and questions.)
Remind students that when an equation contains two variables, it is true for a wide range of values.
"Taking the equation,
4x + 7 = 9x - 2.
We shall record everything we know so far:
1. We have an equation with one variable.
2. We can express it as -5x + 9 = 0.
3. Enter it into the graphing calculator as y = -5x + 9."
Ask, "Why is the x-intercept the only solution? Why aren't all points on the line?"
Clarify, "The reason for this is that the solution occurs when y = 0, hence the y-intercept."
“However, if we have the equation
y - 3 = x + 4
We know a separate set of things.
1. We have an equation with two variables.
2. We can put it in slope-intercept form as y = x + 7.
3. We enter it as is in the y= screen.
Ask, "What is the solution? We are not changing the equation to y = 0. That means that an x-value that yields a y-value of 0 need not be our answer. However, it is crucial to remember that it is possible to find a solution. There are infinitely many solutions, represented by points on the graph's line. The solution of x = −7 when y = 0 may or may not be significant, depending on the nature of the equation described."
"How do you know the difference? You make a note of the differences before entering the equation into the calculator. Before you start, check to see if you have two or one variable; this will tell you what is going on."
Equations with No Solution
"So far, we have considered equations with solutions. You will frequently encounter equations with no solutions. Let's go over the two examples at the beginning of the lesson:
2x - 5x = -3x + 9
8x + 12 = 3x + 5x + 8.
When analyzing the equations, consider the following questions:
How do they differ?
What does the graph look like?"
"If you enter each equation on the left and right sides of the equal sign in the first and second y= screens, the graphs will be parallel. However, if you set the equation to 0 and enter the same equation into the same y= screen, you will obtain a line with a slope of 0, or a horizontal line across the y-intercept. This fact means that for all x-values, you obtain a y-value of ____." (Ask students to fill in the blanks, assisting them as needed.) "This cannot be accomplished if the output value is set to 0!"
Part 3: Applications of Previous Learning
Give the class the following assignment: "With your knowledge of graphing and the solutions to equations in one and two variables, create one of the following:
a PowerPoint presentation.
a scholarly article.
another presentation." (You will consider and accept this option.)
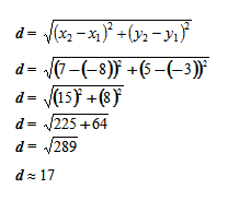
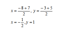
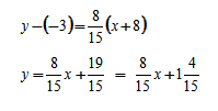
Explain the assignment: "The presentation's objective is to explain real-world examples and solutions to linear equations. You must give at least five equations on three different themes (15 in total). For example, you may offer equations predicting business outcomes, science, consumer spending, and so on. The equations must be supported by a graph that highlights the solution(s). The solution should be clearly identified and connected to the context of the situation. The context can be conveyed in a variety of forms, such as word problems, graphics, text descriptions, and so on. For instance, suppose you have the equation.
4.80 = 4A + 2B
showing the price of 4 bananas and 2 apples, where A stands for an apple and B for a banana. You need to provide any potential variable prices for the given total cost."
"Create a 5- to 10-minute presentation. Emphasize a certain area and be ready to discuss any concerns, problems encountered along the way, unexpected events, etc. Each presentation will be included as a resource on the class website."
To review the lesson, have a class discussion about any questions, difficulties, or epiphanies that occurred throughout the lesson. The latter activities are more advanced and demand significant consideration. Students may have multiple questions.
Hold a class discussion on the concepts of solution and graphing. "What new ideas did you learn? Do you see solutions differently? How? Does graphing make it simpler or harder to see solutions? Was the table feature useful?"
Extension:
Divide students into three- to four-person groups. Ask the groups to give a concise (5-minute) presentation connecting and comparing the following: x-intercepts, y-intercepts, solutions, linear equations in one and two variables, graphs, and tables.
Ask students to respond to the following: If the x- and y-axes indicate horizontal and vertical numbers similar to the length and width of a rectangle, what kind of geometric objects could represent another dimension, and how would you express it in terms of x and y? For instance, the length, width, and height of a cube are utilized as physical spaces in a three-dimensional x-y coordinate (Cartesian) coordinate system of geometry. The x-axis is oriented towards the observer, the y-axis is horizontal, and the z-axis is vertical.
Linear Equations (M-A1-3-2)
During this unit, students will use graphing to solve linear equations. Students are going to:
- Make use of graphs to solve one- and two-variable linear equations.
- construct and discover answers to real-world problems.




