1 / 2
0
Views
0
Downloads


0.0
0
0 Likes
Multiplying Binomials with Multi-Variables
0 Views
0 Downloads
Paste this activity's link or code into your existing LMS (Google Classroom, Canvas, Teams, Schoology, Moodle, etc.).
Students can open and work on the activity right away, with no student login required.
You'll still be able to track student progress and results from your teacher account.
Information
Description
What It Is:
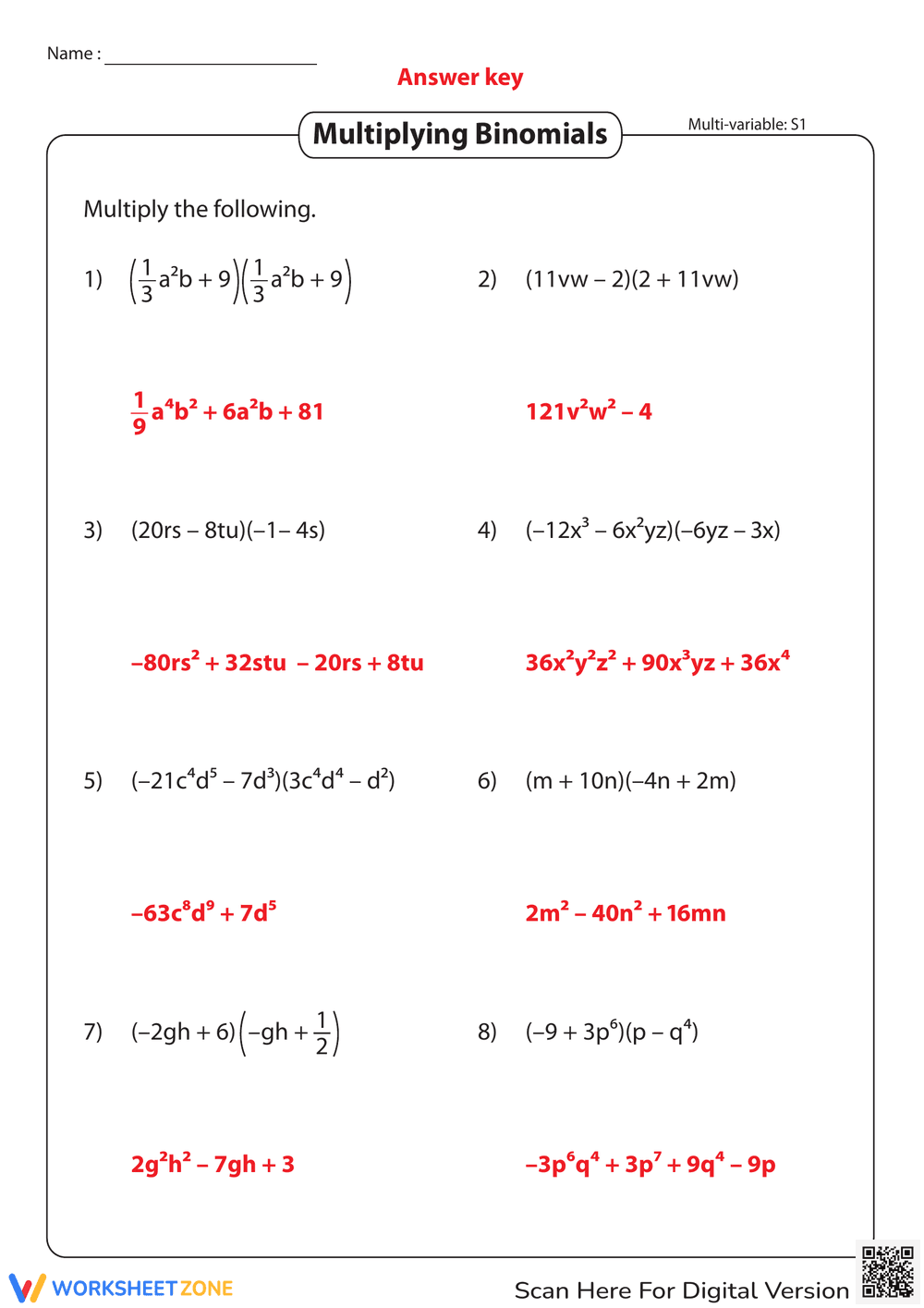
This is a math worksheet titled 'Multiplying Binomials.' It presents eight problems where students are asked to multiply two binomial expressions. The binomials include variables with exponents, coefficients, and constants. The problems involve various combinations of variables such as a, b, v, w, r, s, t, u, x, y, z, c, d, g, h, m, n, and p.
Grade Level Suitability:
This worksheet is suitable for grades 9-11 (Algebra 1, Algebra 2) because it involves multiplying binomials with variables and exponents, a topic typically covered in high school algebra.
Why Use It:
This worksheet provides practice in applying the distributive property (or FOIL method) to multiply binomials. It reinforces algebraic manipulation skills and helps students understand how to combine like terms. The worksheet also helps students practice working with multiple variables and exponents.
How to Use It:
Students should multiply each binomial expression using the distributive property or FOIL method. They need to carefully combine like terms to simplify the resulting expression. Space is available on the worksheet for showing their work.
Target Users:
This worksheet is designed for high school students studying algebra. It can be used for homework assignments, classroom practice, or as a review of multiplying binomials. It is also beneficial for students who need extra practice with algebraic manipulation.
This is a math worksheet titled 'Multiplying Binomials.' It presents eight problems where students are asked to multiply two binomial expressions. The binomials include variables with exponents, coefficients, and constants. The problems involve various combinations of variables such as a, b, v, w, r, s, t, u, x, y, z, c, d, g, h, m, n, and p.
Grade Level Suitability:
This worksheet is suitable for grades 9-11 (Algebra 1, Algebra 2) because it involves multiplying binomials with variables and exponents, a topic typically covered in high school algebra.
Why Use It:
This worksheet provides practice in applying the distributive property (or FOIL method) to multiply binomials. It reinforces algebraic manipulation skills and helps students understand how to combine like terms. The worksheet also helps students practice working with multiple variables and exponents.
How to Use It:
Students should multiply each binomial expression using the distributive property or FOIL method. They need to carefully combine like terms to simplify the resulting expression. Space is available on the worksheet for showing their work.
Target Users:
This worksheet is designed for high school students studying algebra. It can be used for homework assignments, classroom practice, or as a review of multiplying binomials. It is also beneficial for students who need extra practice with algebraic manipulation.




