In this lesson, students will perform operations with rational expressions. Students will:
- calculate the sum of rational expressions.
- calculate the difference between rational expressions.
- calculate the product of rational expressions.
- calculate the quotient of rational expressions.
- solve applied problems using rational expressions.
- How can we apply arithmetic qualities and processes to algebraic expressions and processes, and how can we use them to solve problems?
- Polynomial: An algebraic expression that contains one or more polynomials.
- Least common denominator (LCD): The least common multiple of the denominators in two or more fractions.
- Expression: A variable, or any combination of numbers, variables, and symbols that represent a mathematical relationship (e.g., 24 × 2 + 5 or 4a – 9).
- Rational expression: An expression that is the ratio, or quotient, of two polynomials.
- Rational function: A rational expression that is written in function form, or expressed as a function, i.e., f(x) = 2 / (x – 3).
- Rational number: A number that can be expressed as a ratio of two integers. A rational number can be expressed in the form a/b, where a and b are integers and b is not equal to zero.
- copies of Multiplying Rationals Stations Problem Set (M-A2-5-1_Multiplying Rationals Stations Problem Set)
- copies of Stations Activity Records Sheet (M-A2-5-1_Stations Activity Records Sheet)
- copies of Level Up Problem Set (M-A2-5-1_Level Up Problem Set and KEY)
- copies of Multiplying Rationals IP (M-A2-5-1_Multiplying Rationals IP and KEY)
- copies of Operations Guided Notes (M-A2-5-1_Operations Guided Notes)
- copies of Common Denominators (M-A2-5-1_Common Denominators and KEY)
- copies of Adding Subtracting IP (M-A2-5-1_Adding Subtracting IP and KEY)
- Student responses on the Multiplying Rational Expressions individual practice worksheet might help students learn from their mistakes. Collect frequent misunderstandings and review each correction.
- Responses and observations during the Level Up! The Activity on Dividing Rational Expressions should identify where students are attempting division without utilizing reciprocal multiplication.
- Use student responses on the Exit Ticket as source material for reteaching.
- Student responses on finding the common denominator worksheet can identify improper strategies for applying LCM and GCF.
- Students responses on the independent practice worksheet for addition and subtracting rational expressions might be very insightful when they struggle to discover common denominators.
Scaffolding, Active Engagement, Modeling, Explicit Instruction
W: This lesson covers rational expressions and how they can be integrated with fundamental arithmetic. Students should be shown the relationship between the tasks covered in this lesson and how similar tasks are completed using fundamental fractions. This information enables students to apply their prior knowledge to a new assignment. Students have already dealt with polynomial expressions; thus, rational expressions take the same concepts a step further. This lesson's ideas illustrate how to approach mathematical functions involving fractions with variables in the denominator. Students will be evaluated based on their ability to complete such tasks using suitable procedures, as well as their ability to deal with rational functions in applicable circumstances.
H: Prior to demonstrating each operation during the instructional process, it will be important to hook the students by pulling from their prior knowledge about operations with fractions. Help students recall how to add, subtract, multiply, and divide basic fractions. Multiplication of fractions is considered prior knowledge, and students will likely require only a little amount of practice to feel confident in their skills. The goal is to build on students' existing knowledge and recall key skills needed to complete each skill in the lesson.
E: Use the examples in this lesson to model the procedures needed to solve various types of problems. The purpose is to provide students with the abilities required to perform each operation with rational functions independently. The problems range from basic to more complex. Students will gain the experiences necessary by modeling these techniques and doing them independently and with applied problems.
R: This lesson provides opportunities for students to reflect, reread, revise, and reconsider the procedures taught by the teacher. The activities are designed to accommodate a wide range of learning styles and help students master each topic.
E: Students will demonstrate their understanding of the lesson's subjects through exercises and individual practices. Students will have the opportunity to obtain advice on the skills required for each topic before progressing to work through the issues independently. Students should be able to evaluate their work and ask questions as they complete the exercises and practice independently.
T: Each topic in the lesson includes a learning activity to help students master the material. The lesson's Extension section has some additional suggestions to assist in differentiating for different students' skill levels. This includes guided notes, extra practice sets, application extensions, and different activity directions.
O: This lesson is designed to progress students from guided to individual practice, gradually building on each skill. Students will start each skill with teacher-modeled examples, then progress to a learning activity, and finally to an autonomous practice activity. This level of structure is demonstrated in each lesson on multiplication, division, and addition and subtraction.
Part 1
Begin this part by explaining to students that the modeled solutions are just one way to simplify the equations. Encourage students to investigate and explore alternative solutions to the problem.
"Remember how to multiply the following fractions: \(2 \over 3\) • \(21 \over 10\). Please take a minute to complete this task on your own paper. "
Allow students time to recall and complete the required assignment. Then they should discuss their findings.
Possible methods:
First, multiply the numerators, then the denominators, and then simplify: \(42 ÷ 6 \over 30 ÷ 6\) = \(7 \over 5\)
\(42 \over 30\) = \(7 • 6\over 5 • 6\) = \(7 \over 5\) • \(6 \over 6\) = \(7 \over 5\) • 1
OR simplify before multiplying:

"In this lesson, we will concentrate on problems similar to those illustrated below, except instead of rational numbers, we will use rational expressions. While a rational number is the ratio of two integers, a rational expression is the ratio of two polynomials and would look similar to something like this: \(2x^2 + 5x - 3 \over 4x^2 - 25\).
This lesson will walk us through the steps necessary to multiply, divide, add, and subtract rational functions, which are quite similar to how we multiply, divide, add, and subtract rational numbers."
"We will start our lesson with multiplication."
Model the following problems for the students: Before beginning the stages, have students consider the type of factoring that will be required for each component of the problem.
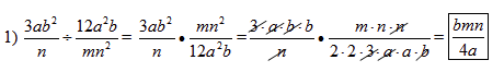
"The rules for multiplying rational expressions require us to ensure that the numerators and denominators are factored. Once they're factored, we should check for any common factors."

Note: This example can also be completed using the rules of exponents and simplifying fractions as well; the above work demonstrates the common factors of the numerator and denominator.

Also, make sure students know that they cannot divide by the x-terms in this situation because the x-term are not a factor in the answer; they are being added or subtracted. To ensure the accuracy of the calculation, substitute a trial value for the x-term.

Note: This example uses the greatest common factor type of polynomial factoring.

This example shows how to factor trinomials.

This example shows how to factor trinomials and find the difference between two squares.
Cooperative Learning Activity: Give students the chance to go over and think about the steps of the problems again on the following group exercise. When students work in groups, they will be able to work through the problems with their classmates and figure out how to solve each one. The activity should have given the students the skills they need to do these tasks on their own by the end.
Divide your classroom into six stations.
Have a problem printed out at each station so that students can see what they need to do to answer it (M-A2-5-1_Multiplying Rationals Stations Problem Set).
Give each student a Stations Activity Records Sheet (M-A2-5-1 Stations Activity Records Sheet) to keep track of their tasks.
At each station, put students into groups. You can divide them in any way that works best for your classroom dynamics.
Students should work in their area for a set amount of time (3–7 minutes). While they're working, keep an eye on their progress and help them if they need it. Change the time as needed.
The answers can be found in M-A2-5-1_Multiplying Rationals Stations Problem Set (p.7) in the Resources folder.
Part 2
Before starting this part, tell the students that the modeled solutions are just one way to make the expressions easier to understand. Get students to look for and talk about other ways to solve the problem.
"Remember how to divide these fractions: \(2 \over 3\) ÷ \(8 \over 9\). We know how to divide fractions by a certain number. Let's look at why the rule is in place first, though, before we say it here. 'How many eight-ninths are in two-thirds?' is what the statement means. Since eight-ninths is the reciprocal of nine-eighths, because division is multiplication by the reciprocal. It is equivalent to two-thirds times nine-eighths:

Spend some time on this problem and talk with your class about two different ways to solve it. Once the students know how to use the reverse of the second fraction, the steps should be similar to how they learned to multiply fractions. Answer: (\(3 \over 4\))
As an example, show students the following: Make sure to show how the work they did in the multiplying section because when the reciprocal substitution is done, the problems become identical to what they did before.

Note: This problem can also be solved using exponent rules and fractional simplification; the above work shows the common factors of the numerator and denominator.

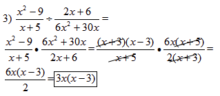
As a reminder to factor binomials, this problem asks students to simplify after determining a greatest common factor.

This example demonstrates how to use various factoring techniques, including the Greatest Common Factor, the difference of squares, and integers.

This example introduces students to trinomial factoring and what happens when everything divides by the same factor.

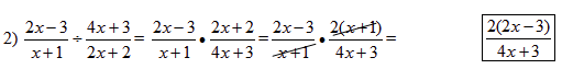
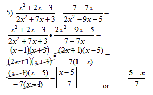
Explain to the students how factoring out −1 allows one to go from 1 − x to x − 1. The point of this example is to show more complicated types of factoring.
Learning Activity: Level Up! The goal of this task is to get students to the point where they can complete the most advanced type of division problems on their own. At the start of the game, students will be given a simple problem to solve. As they move through the steps, they will try to finally solve a more difficult problem. This will help meet the needs of students who need more learning opportunities while also giving students who are already meeting or exceeding the standards the chance to move on.
Cut out the problems from Level Up! before you start the exercise. Separate the problem set into strips (M-A2-5-1_Level Up Problem Set and KEY).
As a first step, give each student problem 1, which is the simplest problem. The students should work on the problem on their own while the teacher helps them when she needs to. When a student has finished a problem to the teacher's satisfaction, they give them a problem that is one level harder, and they do it all over again. To keep the students interested, the teacher might think about adding a reward system for each level that is completed. The answers to this task can be found on page 3 of the Level Up! Problem Set document (M-A2-5-1_Level Up Problem Set and KEY).
Part 3
Before you start this part, tell the students that the modeled answers are just one way to make the phrases easier to understand. Get students to look for and talk about other ways to solve the problem.
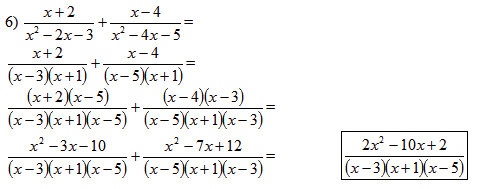
"What is the rule we should follow when adding and subtracting fractions?" That's right, students should say that a common denominator is needed.
"What would the common denominator be for the following sum: \(2 \over 3\) + \(4 \over 5\)?" (15)
"What do we need to do to get the numerator of these two fractions to be the same?" After multiplying the numerator and denominator of the first fraction by 5, the new equivalent sum is \(10 \over 15\) + \(12 \over 15\). Students should be asked to come up with another way to find equal fractions and have the same denominator .
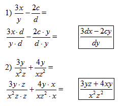
"Once we have a common denominator, we can add these two fractions together. But be careful that when you add or subtract, you only change the numerators. The denominator stays the same. In this case, the answer is (\(22 \over 15\))."
"The same rules apply to adding and subtracting rational expressions as they do to numbers. It means we need to find things we have in common. When we multiply by (\(5 \over 5\)) we really multiply by 1."
"If we want to start a problem where we have to add or subtract rational numbers, we must first make sure that the denominators are in factored form. We'll be able to find the common denominator more quickly."
Before showing students how to add and subtract rational expressions, use the Common Denominator Practice Sheet to help them get used to finding the LCM of the two denominators. This will help them do this task more quickly when they are doing the addition and subtraction problems (M-A2-5-1_Common Denominators and KEY).
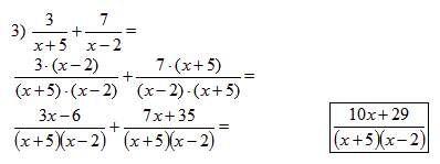
Show the following examples to students and carefully walk them through how to find the common denominator and then how to combine the two fractions.


When explaining this example to students, make sure to emphasize the key steps (factoring, distributing, and combining like terms).

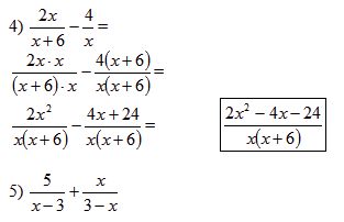
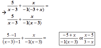
Discuss the connection between the two denominators and how factoring out −1 will facilitate reaching the LCD using this example.


Note that this example starts with factoring. Make sure to stress that this has to be done before the common factor can be found. Make sure students remember to multiply the numerators first, then combine words that are the same.

With regard to factoring, multiplying, and combining like terms, this example is more sophisticated.
Part 4
Explain to the students what a rational function is, which is a function that a rational expression can give. Any number that can be written as the ratio (or fraction) of two integers is called a rational number.
How do you solve this problem?
The boss of Billy's Boat Repair Shop wants to know how much money he earned last month. He has decided that the formula R(x) = \(25x \over x - 2\) can be used to model the income.
The equation C(x) = \(6 \over x^2 + x - 6\) can display the costs.
where x is the number of engines that were fixed.
Find a function P(x) that can show how much money Billy's Boat Repair Shop makes. Find out how much money you will make by fixing 12 boats.
[Solution: P(x) = \(25x^2 + 75x - 6 \over (x - 2)(x + 3)\); $29.96]
- Ask students to write a short answer to the following question as an "exit ticket": In what ways do multiplying and dividing logical expressions work the same or differently?
- Use the independent practice worksheet (M-A2-5-1_Multiplying Rationals IP and KEY) to give students extra practice after going over topic 1. The problems range from easy to very hard. If you need to, give each student a unique problem to work on. You can find the answers on page 2 of the file.
- If your students need more time to learn, they can use the guided note packets in the Resources folder (M-A2-5-1_Operations Guided Note).
Extension:
- Assign the Level Up! Problem Set (M-A2-5-1_Level Up Problem Set and KEY) as homework if you can't finish it in class. If you need to, change the tasks that students have to do based on their levels.
- Divide Application Extension: If a rectangle's area is and its width is, then what is its length? Answer: (3x + 7)
- Give students extra practice with the (M-A2-5-1_Adding Subtracting IP and KEY) worksheet after going over topic 3. The answers can be found on page 2 of the document. The problems range from easy to very hard. If you need to, give each student a unique problem to work on.
Operations with Rational Expressions (M-A2-5-1)
In this lesson, students will perform operations with rational expressions. Students will:
- calculate the sum of rational expressions.
- calculate the difference between rational expressions.
- calculate the product of rational expressions.
- calculate the quotient of rational expressions.
- solve applied problems using rational expressions.




