In this lesson, students will learn to simplify complex fractions. Students will:
- apply concepts from simplification of rational expressions to those written in complex form.
- use several simplification techniques to their simplification process.
- How can we apply arithmetic qualities and processes to algebraic expressions and processes, and how can we solve problems with them?
- Expression: A variable, or any combination of numbers, variables, and symbols that represent a mathematical relationship (e.g., 24 × 2 + 5 or 4a – 9).
- Rational expression: An expression that is the ratio, or quotient, of two polynomials.
- copies of Complex Guided Notes (M-A2-5-3_Complex Guided Notes)
- copies of Complex Fractions Group Activity (M-A2-5-3_Complex Fractions Group Activity and KEY)
- copies of Complex Fractions Extra Practice (M-A2-5-3_Complex Fractions Extra Practice and KEY)
- Extension activity enables differentiated assessments based on individual student needs. Students can assess themselves while working in groups.
- Performance on extra practice worksheet will provide a partial indicator of each student's level of understanding. Take note of the types of errors and skipped exercises.
Active Engagement, Modeling, Explicit Instruction
W: This lesson builds on lesson one, which taught students how to operate on rational expressions. This lesson will take these ideas to the next level by integrating them in various ways. Students should grasp how these concepts relate to one another and how they will be expected to do these tasks effectively.
H: This lesson begins with a review of key skills needed for completion. This will demonstrate to students that they already possess a significant amount of the knowledge required to solve these challenges. This will provide students the confidence they need to get through these long problems, as well as help them connect their existing knowledge to where they are going.
E: During the lesson, three students will be given modeled instances to develop the necessary abilities to solve difficulties. Students will have the opportunity to work through challenges and receive feedback on their work, preparing them for independent assignments.
R: The lesson structure allows students to ponder and revisit concepts after each sub-topic is given. Thus, students can assess if they have any queries before moving on to the next case. If necessary, the teacher might give students alternative explanations or additional time to rework their work.
E: In this lesson, students will demonstrate their learning through group activities and independent practice. The individual practice problems are intended to allow students to try some issues on their own once the teacher has discussed the techniques with them. This allows students to review their work and identify if they still have questions. By working constructively with other groups, students can develop a deeper comprehension of the material. This allows them to teach and learn alongside one another.
T: The extension section of this lesson offers numerous activities and opportunities to satisfy the needs of a diverse learning community. The guided notes, group activities, and independent practice exercises are intended to personalize this course to your specific teaching needs.
O: The lesson follows a pattern where the teacher models one sort of problem and then allows students to practice on their own. This applies to each of the three categories of problems mentioned in the lesson. Once the class is finished, students will collaborate on a group assignment. This gives students time to contemplate and develop the abilities required for these problems.
There are four parts in this lesson. Part one has an activity to recall concept. In parts two and three, students will practice using three different kinds of complicated fractions they may come across. As you go over each example with them, make sure to emphasize the key ideas from the first lesson. The students should know that they are doing the same steps but putting them together in different ways.
Part 1 Concept Recall
Show the class the following words, or say them out loud. These will give students a chance to review some of the important ideas they will need for this lesson, like how to simplify rational expressions and solve rational problems.
1. When adding or subtracting fractions we must have a __________________. (common denominator)
2. When we multiply fractions, if we see there is the same factor in the top and bottom, we can ____________________. (divide by a common factor)
3. We must __________ and __________ the second or bottom part when we divide fractions. (multiply by reciprocal)
4. Always check to see if your statements are in ______ form. (factored)
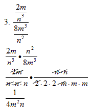
Part 2 Basic Complex Fractions



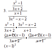
Part 3 Complex Fractions that involve factoring
1.

Note: This problem now becomes exactly the same as the one from lesson 1.



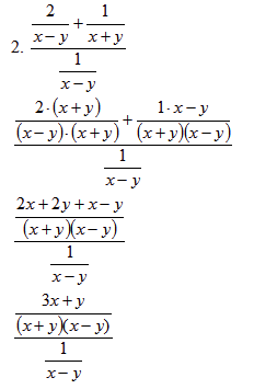
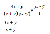
Part 4 Complex Fractions involving addition and subtraction

At this time, remind students to focus on finding common denominators. Also, it might help for students to work on the top and bottom expressions separately first, and then put them together at the end.


The reciprocal and multiply steps are now available since the fractions have been sufficiently simplified.


Note from the teacher: When working on this problem with students , it might be best to start with the numerator expression and then simplify the denominator expression. Finally, use the reciprocal and multiply steps to put them all together. This might clear things up for students who are trying to do too much at once.

Review:
- Group Activity: Use the group activity to give students a chance to work together and practice using what they've learned from the lesson (M-A2-5-3_Complex Fractions Group Activity and KEY).
- Each group must have three students.
- The activity has three problems. Write each problem on the board and give it to the groups one at a time.
- When working on the problems, the goal of members in the group is to solve the problem together. Because of this, each person in the group will be assigned a role for each problem. The parts will change after the first problem so that every student has a chance to play every role. The first role simplifies the expressions in the numerator. The second role simplifies the expressions in the denominator. The third role does the reverse and multiply step to simplify both expressions at the same time.
- When all the groups are done with the problem, talk about the answer with the whole class. Then, have the students switch places and write the next problem on the board.
- Utilize the guided notes sheet found in the resource folder for students who need to learn more (M-A2-5-3_Complex Guided Notes).
- Switch to group activity.
- Make copies of the three problems that were used in the group task and give them to the students as homework.
- Have students with special needs work in groups with the help of a special education teacher or aide.
- Give each group of examples a problem for the students to work on on their own, either as homework or in class. This will give students time to think about what they've learned and allow the teacher to see where any problems are occurring (M-A2-5-3_Complex Fractions Extra Practice and KEY).
Rearrange the rational equation solving and complex rational expression simplification presentations. Some people might find this more useful because many of the ideas used in this lesson are taught while logical expressions are simplified. This means that the students would still remember these ideas, which might make it easier for them to solve the questions in lesson 3.
Extension:
Two days ago, a family went on a road trip. They went 75% of the distance on the first day at 75 miles per hour. They went the remaining 25% of the distance at 25 miles per hour on the second day. Find the speed that you went at most often during the two-day trip. (62.5 mph per hour)
Simplifying Complex Rational Expressions (M-A2-5-3)
In this lesson, students will learn to simplify complex fractions. Students will:
- apply concepts from simplification of rational expressions to those written in complex form.
- use several simplification techniques to their simplification process.




