In this lesson, students will solve rational equations. Students will:
- use appropriate methods to solve problems.
- apply algebraic techniques to solve problems.
- determine whether the solutions found are acceptable for the problem being solved.
- How can we apply arithmetic qualities and processes to algebraic expressions and processes, and how can we use them to solve problems?
- Equation: A statement that two mathematical expressions are equal.
- Extraneous solution: A root obtained in the process of solving an equation, which is not a root of the equation given to be solved.
- Rational equation: A statement of equality between two expressions containing one or more variables as a ratio.
- Rational expression: An expression that is the ratio, or quotient, of two polynomials.
- copies of Solving Rationals Guided Notes (M-A2-5-2_Solving Rationals Guided Notes)
- white boards, markers, and erasers
- copies of IP Jokes WKS (M-A2-5-2_IP Jokes WKS)
- While student responses during modeling provide valuable insights into their proficiency with words, certain types of mistakes can indicate deeper misconceptions. Consider cases where students suggest division but fail to employ reciprocal multiplication.
- Effective partner activities require active listening, self-correction, and explanations of rationale.
- Independent practice worksheet responses can help identify common misunderstandings among students.
Scaffolding, Active Engagement, Modeling, Explicit Instruction
W: Students have solved linear and quadratic problems. Rational equations continue the process by combining the ideas used to solve linear and quadratic equations. To best evaluate students' progress, they will be assessed utilizing both formative and summative evaluations throughout the lesson.
H: To begin a lesson on solving rational equations, it's vital to emphasize students' prior knowledge of the subject. The first example uses familiar arithmetic: the sum of a rational number and an integer, which may be written as a numerator and denominator. This helps students feel more at ease during the longer-term problem-solving process. Make use of students' past knowledge throughout the class to keep them engaged. At the end of the lesson, the individual practice assignment includes a humorous twist to keep students motivated to finish the practice.
E: In this lesson, students will be provided with modeled examples to refer to as they progress. The modeled examples are intended to progress from a simple to a more sophisticated form of equation, providing students with the experience to answer a wide range of problems. The lesson includes a range of extensions and changes to accommodate different learning styles and allow students to work both individually and collaboratively.
R: This lesson is structured to help students develop independent work habits. As the lesson progresses, students are gradually guided toward greater autonomous thinking, allowing them to contemplate, return, and rethink the concepts taught. As problems are discussed in class, students will be able to review their mistakes and gradually develop the abilities required to solve logical expressions.
E: Students can demonstrate their grasp of concepts through group and independent activities. The partner activity is intended to allow students to discuss the problem-solving process with a peer to gain a better knowledge of the concepts and clear up any misconceptions they may have. Moving to an independent worksheet will allow students to model their own understanding of the ideas.
T: This lesson is tailored to accommodate diverse learning styles. Modeling examples allows students to learn knowledge visually and verbally. Students have the opportunity to engage with their peers as well as independently to discern between the various learning methods. The Extension section of this lesson also includes a number of adjustments to better match the demands of your school environment.
O: This lesson aims to transition students from guided to independent performance. Students study in stages, progressing from one level to the next to encourage autonomous thinking. The lesson begins with modeling and discussion of a wide range of problems, from simple to difficult, as well as several conversations regarding the methods involved in each problem. This will give students with a choice of references as they progress to more autonomous work. The following stage of the lecture would allow students to attempt tasks on their own, although with the assistance of a classmate. This helps students address any misconceptions and build a better grasp and confidence in the subjects. Finally, students would progress to the independent level of the lesson, where they may apply what they had learned in the previous levels.
"We have a lot of experience solving equations like 2z + 12 = –5x – 9 and x² + 5x + 6 = 0. Today, we will look at equations that use fractions with variables in the denominator. The main focus of this lesson will be on how to solve problems with rational expressions. We need to simplify a more complex type of equation into an easier one that we already know how to answer, like 2x + 12 = –5x – 9 or x² + 5x + 6 = 0."
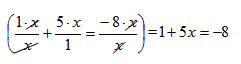
"In this case, \(1 \over x\) + 5 = \(-8 \over x\) is a rational equation since x is in the denominator. Here are some easy steps you can use to solve this and other rational problems."
Show each step and tell students to write it down in their notes. You will need to look back at these steps as you go through each example below.
1. \(1 \over x\) + 5 = \(-8 \over x\)
Step 1: Formulate all the denominators into factors:
"What is the first fraction's denominator?" (x)
"Can this be factored any further?" (no)
"What is the second fraction's denominator?" Remember that 5 is the same as 5 divided by 1.
"Can this be taken into account any further?" (no)
"What is the third fraction's denominator?" (x)
Step 2: To find the least common denominator, multiply the whole equation by the factors of the denominators (least common denominator):
(\(1 \over x\) + \(5 \over 1\)) (x) = \(1 \over x\) • x + \(5 \over 1\) • x
Step 3: Divide by a common factor inside each word as needed and record what remains:

Step 4: To finish the problem, use simple algebra skills. (Students should know that what they will be left with is a type of problem that they already know how to solve.)
1 + 5x = -8
-1 -1
5x = 9
x = -\(9 \over 5\)
Step 5: Check for options that aren't needed. Check that the solution(s) are defined for the original problem by changing the variable to the answer. Tell your students that it's possible for solutions to be found that aren't allowed in the original problem because they create values that aren't known. You shouldn't put these numbers in their final answer because they aren't part of the domain. To keep the denominator from being 0, we need to make sure that our calculated numbers don't give us that result.
-\(9 \over 5\) would not result in a zero denominator, so it is the answer to the problem.
Show students how to do the rest of the examples. As you go through the five steps, make sure to stress each one. As you go, the problems get more difficult.




(x + 1)(x + 2) + x(x + 3) = 7 - x
FOIL & distribute: x² – x – 2 + x² + 3x = 7 – x
combine like terms: 2x² + 2x – 2 = 7 – x
Figuring out the answer will probably require factoring since there is a squared number. Talk to your students about how they should know that factoring is probably what they need to do to solve a problem when they see a squared variable.
Thus, 2x² + 3x – 9 = 0
(x + 3)(2x – 3) = 0
x = -3; x = \(3 \over 2\)
When examining answers, we discover that −3 results in a zero denominator, whereas \(3 \over 2\) does not. So, Solution: x = \(3 \over 2\)

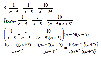
a – 5 + a + 5 = 10
2a = 10
a = 5
a = 5 would result in a zero denominator and hence is not a solution to the problem, leaving us with no viable solutions. Thus, Solution: NO SOLUTION Ø
Review:
- Interpersonal Partner Activity: After modeling examples and procedures, invite students to try the following activity. Students should work with a partner during the game so that they can help each other and talk about how to do each step.
- Independent Practice (Jokes Worksheet): This worksheet uses a joke to help students practice the problems they have been working on in class. There are seven questions for the students to solve, and each answer will be a letter. If you solve each puzzle correctly, you'll see the answer to a fun puzzle. (M-A2-5-2_IP Jokes WKS) Answer: NICE BELT.
Extension:
- Help students who need to learn more by using the guided notes sheet in the resource folder (M-A2-5-2_Solving Rationals Guided Notes).
- Useful Question: Car A goes 180 miles in the same amount of time as Car B goes 120 miles. Find out how fast both cars are going if one is going 20 mph faster than the other.
Solution: One car is going 40 mph, and the other is going 60 mph.

- Modification 1: Students who need extra help. If you can, print out the problems ahead of time and let the kids work on them as they see fit.
- Modification 2: Maybe have the students who are meeting or exceeding the standards work with other students who need more help so the teacher can reach more students.
- Modification 3: If you don't have enough time in class, print out the problems and give them to the students as an independent homework assignment.
- Modification 4: Do everything by yourself. No partners.
Solving Rational Equations (M-A2-5-2)
In this lesson, students will solve rational equations. Students will:
- use appropriate methods to solve problems.
- apply algebraic techniques to solve problems.
- determine whether the solutions found are acceptable for the problem being solved.




